• Предмет: Алгебра
  • Автор: volchij90
  • Вопрос задан 3 года назад

решите плиз и 30 б получите

Приложения:

Ответы

Ответ дал: Collama
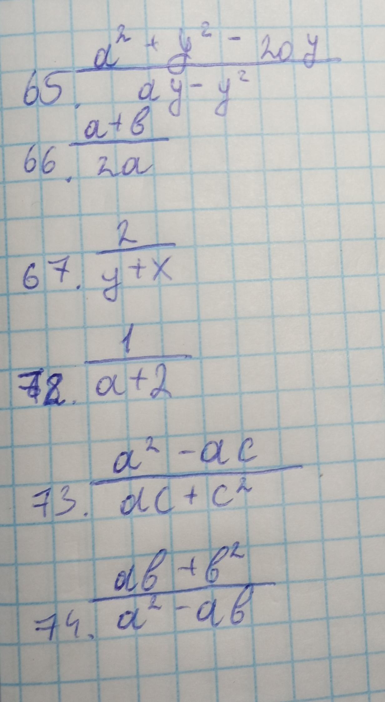
1

Ответ:

a²+y²-20y/ay-y²

a+b/2a

2/y+x

1/a+2

a²-ac/ac+c²

ab+b²/a²-ab

Объяснение:

Приложения:
Вас заинтересует