• Предмет: Алгебра
  • Автор: mensovdenis727
  • Вопрос задан 3 года назад

Пажалуйста Пажалуйста ​

Приложения:

Ответы

Ответ дал: parus77
1

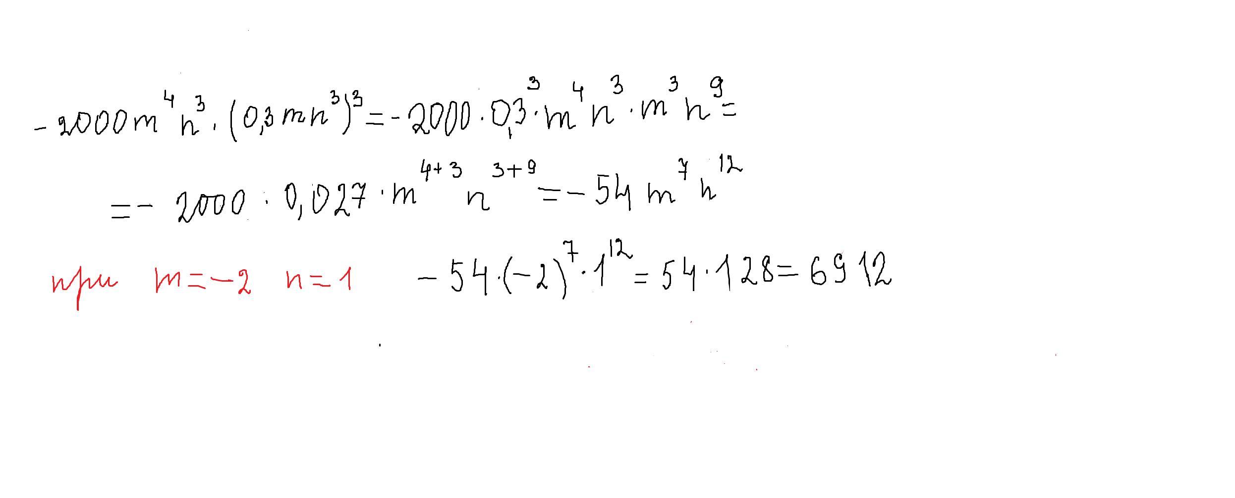
Ответ:

6912

Объяснение:

Приложения:
Вас заинтересует