• Предмет: Алгебра
  • Автор: mensovdenis727
  • Вопрос задан 3 года назад

Пажалуйста решите буду очень блогадарин​

Приложения:

Ответы

Ответ дал: table123
1

Ответ:

Объяснение:

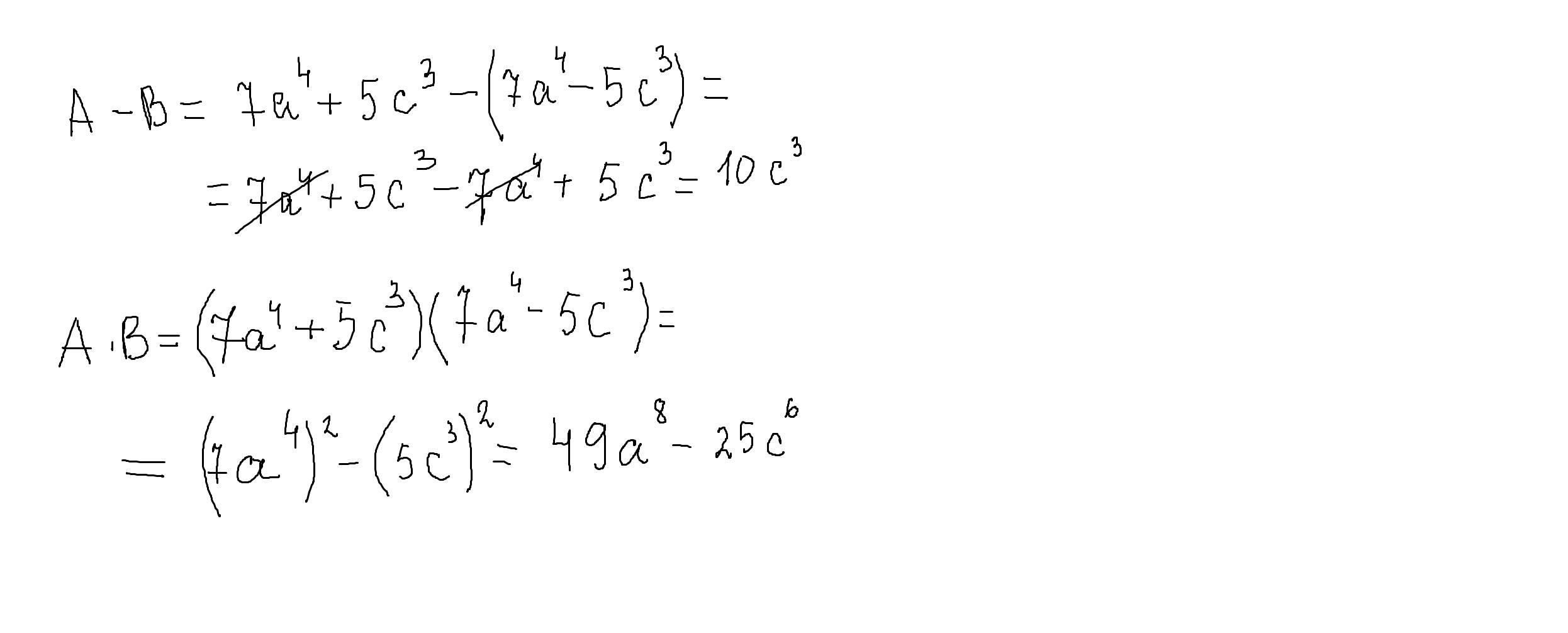
A-B=7a^4+5c^3-(7a^4-5c^3)=7a^4+5c^3-7a^4+5c^3=10c^3  ( ^-знак степени)

A*B=(7a^4+5c^3)*(7a^4-5c^3)=49a^8 - 25c^6,  по формуле :

(a+b)(a-b)=a^2-b^2


mensovdenis727: Спасибо надеюсь правильно!!!
mensovdenis727: сможете еще решить???
Ответ дал: parus77
1

Ответ:

Объяснение:

решение внизу

Приложения:
Вас заинтересует