• Предмет: Алгебра
  • Автор: hehejeb
  • Вопрос задан 3 года назад

ОЧЕНЬ СРОЧНО ! Помогите пожалуйста решить!! Даю много баллов
Заранее огромное вам спасибо!

Приложения:

Ответы

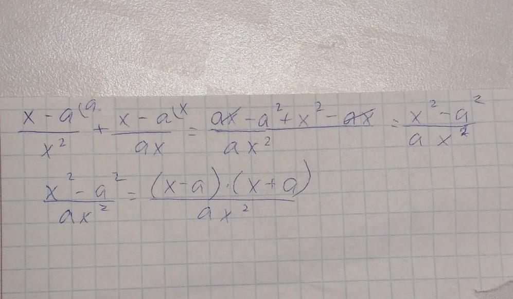
Ответ дал: lineaika50
1

Ответ:

вот если не понятно то проси

Приложения:

hehejeb: Спасибо большое! Это точно правильный ответ ?
Ответ дал: gdhrw
1

Объяснение:

по сути упростить же нужно было? Ну это все, что я в силах сделать. Можно оставит ответ, что на 1 строчке, а можно еще разложить по формуле, как во 2 строчке

Приложения:
Вас заинтересует