• Предмет: Математика
  • Автор: freezergame001
  • Вопрос задан 3 года назад

Помогите с математикой пожалуйста

Приложения:

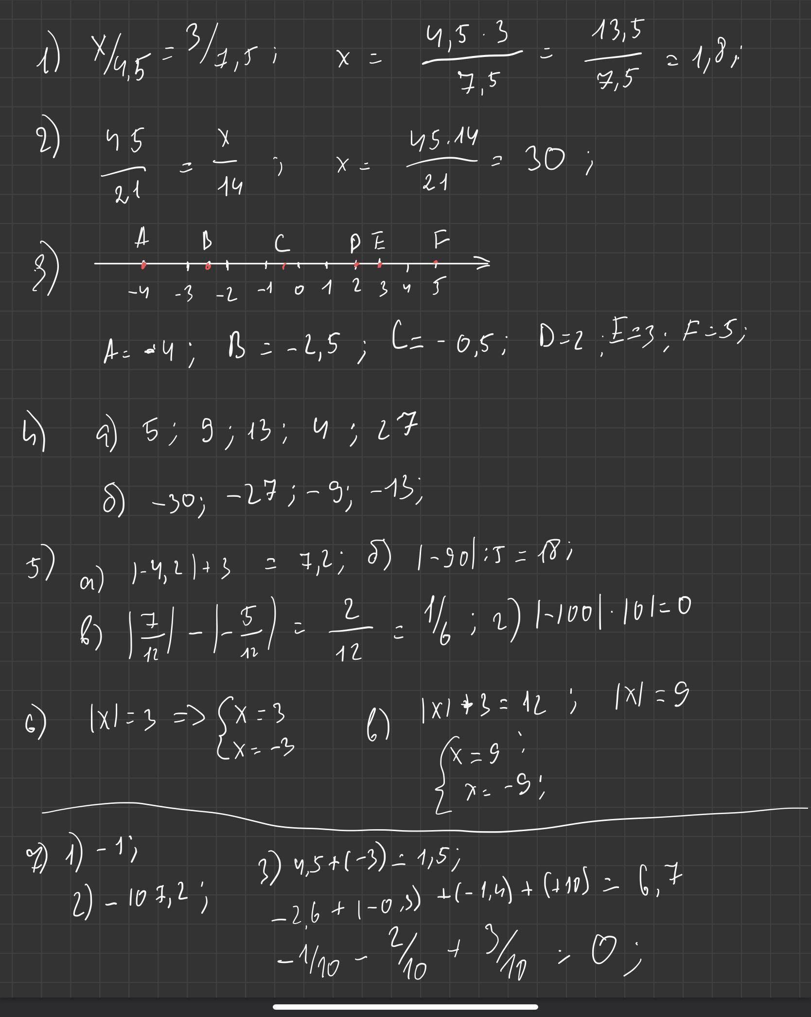
Ответы

Ответ дал: dimkaxdx
0

Ответ:

Пошаговое объяснение:

Приложения:
Вас заинтересует