• Предмет: Алгебра
  • Автор: stassavich06
  • Вопрос задан 3 года назад

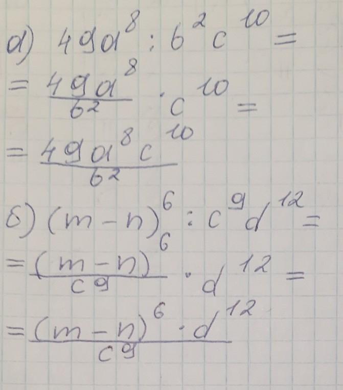
Представьте в виде степени рациональную дробь:
a) 49а⁸ : b²c¹⁰
б) (m -n)⁶ : c⁹d¹²​

Ответы

Ответ дал: Natalya066487
0

Объяснение:

Ответ с решением на фото!!!

Приложения:
Вас заинтересует