• Предмет: Геометрия
  • Автор: nikkitalol
  • Вопрос задан 3 года назад

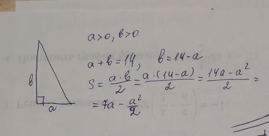
Сумма катетов прямоугольного треугольника равна 14 см. Найди длины катетов этого треугольника, при которых площадь треугольника будет наибольшей.

Приложения:

Ответы

Ответ дал: kirichekov
1

Ответ:

а=7 см; b =7см

S наиб. =24,5 см^2

Объяснение:

решение во вложении

Приложения:
Вас заинтересует