Помогите, пожалуйста, с высшей математикой. Дам 35 баллов! Нужно решить 2 задания на картинке.
Приложения:

Ответы
Ответ дал:
0
Пошаговое объяснение:
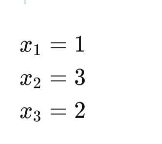
это ответ на первое задание
Приложения:

Вас заинтересует
2 года назад
2 года назад
2 года назад
7 лет назад
7 лет назад
9 лет назад