Помогите с одной задачей ОГЭ по математике отдаю все баллы (42)...
ПОЖАЛУЙСТА ПОМОГИТЕ ЭТО РЕШИТЬ, желательно распишите все действия, БУДУ ОЧЕНЬ БЛАГОДАРНА.
Приложения:

Ответы
Ответ дал:
0
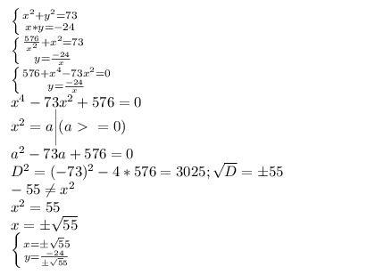
Ответ:
Пошаговое объяснение:
Приложения:

Вас заинтересует
2 года назад
2 года назад
2 года назад
7 лет назад