• Предмет: Математика
  • Автор: molodoyboy666
  • Вопрос задан 3 года назад

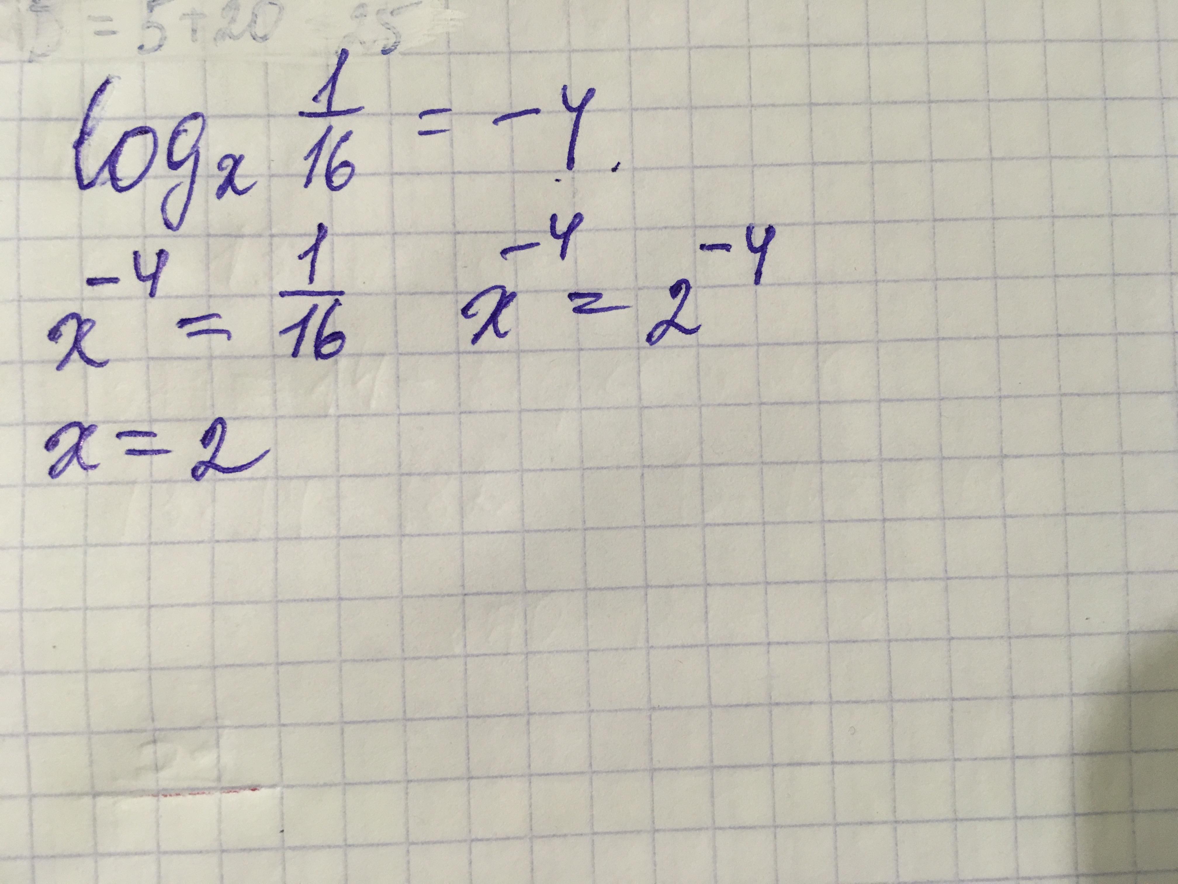
Помогите решить уравнение логарифм! Срочно!!! Даю 25 баллов ​

Приложения:

Ответы

Ответ дал: smorodinkalolp0t266
1

Ответ:

Х=2

Пошаговое объяснение:

На фото

Приложения:
Вас заинтересует