• Предмет: Математика
  • Автор: vikavandzhura51
  • Вопрос задан 3 года назад

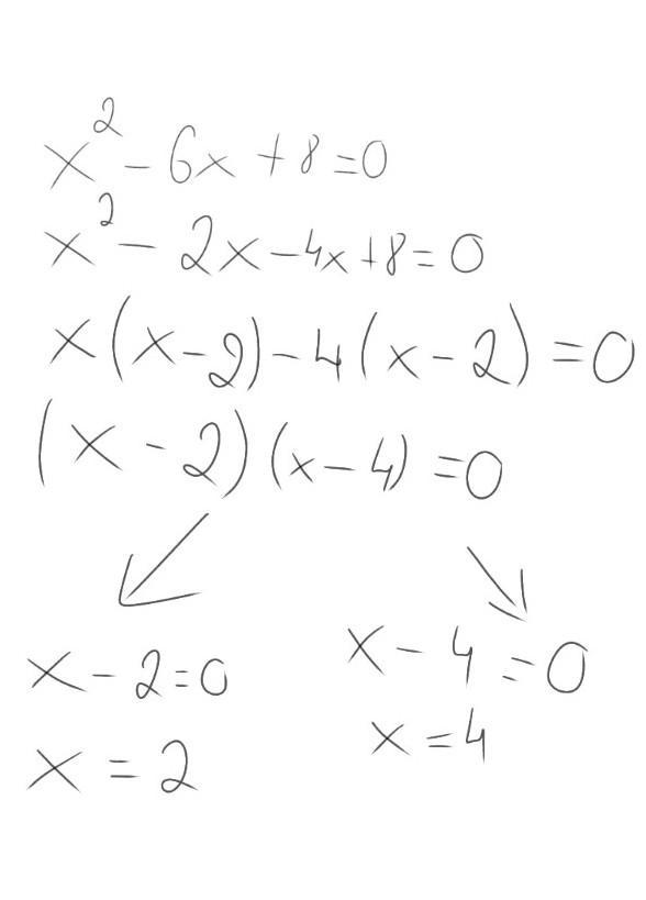
Розв'язати рівняння х^2-6х+8=0

Ответы

Ответ дал: animelove1507
2

Ответ:

вот ответ на твой пример, простите что неаккуратно

,

Приложения:
Вас заинтересует