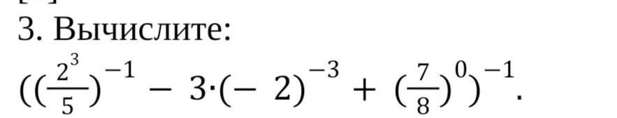
Пжжж помогите алгебра
Приложения:

orazgalizanel088:
всем привет помогите пожалуйста
Ответы
Ответ дал:
2
вот ответ 100% верно мм
Приложения:

Вас заинтересует
2 года назад
2 года назад
7 лет назад
7 лет назад