Ответы
Ответ дал:
1
Ответ:
Объяснение:
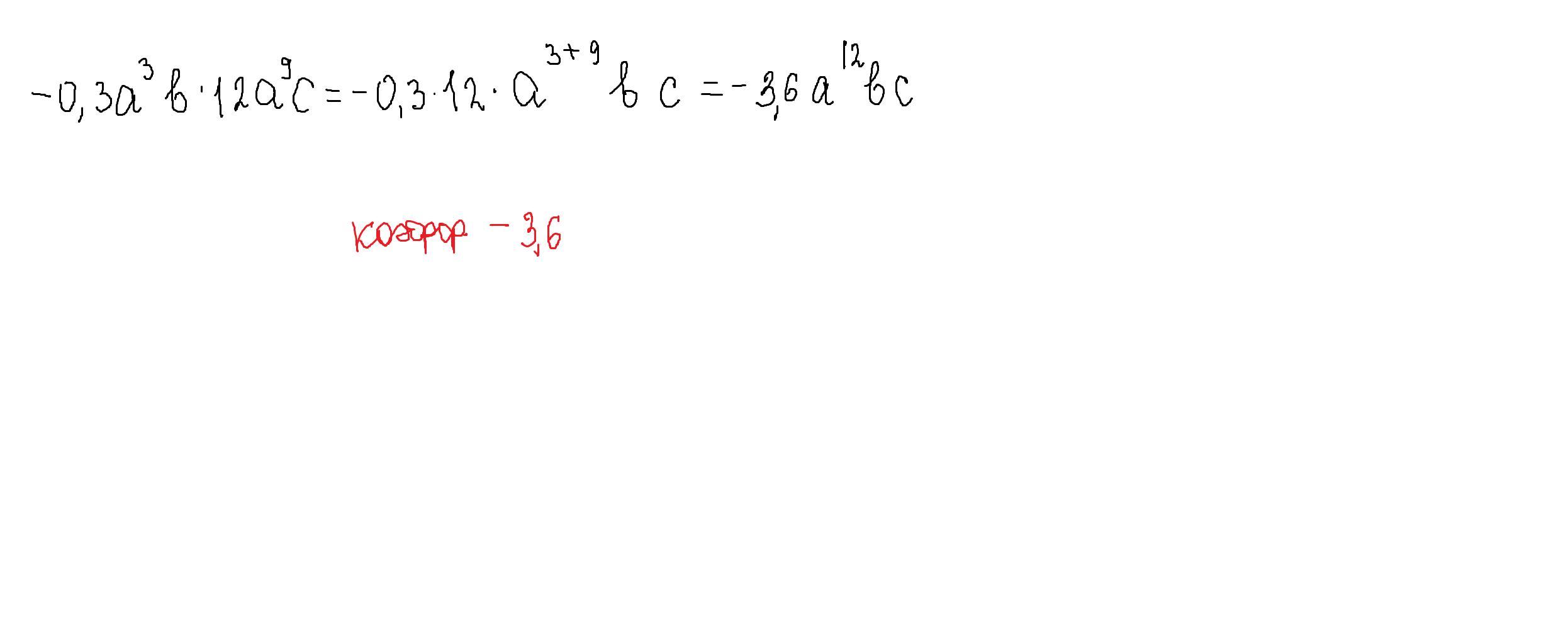
-0,3*12*а^3*a^9*b*c=-3,6a^12bc
коэффициент -3,6
Ответ дал:
2
Ответ:
- 3,6
Объяснение:
решение внизу -3,6 а¹²bc
Приложения:

Вас заинтересует
2 года назад
2 года назад
2 года назад
2 года назад
7 лет назад
7 лет назад
9 лет назад