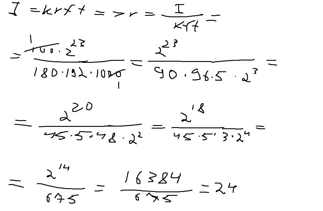
Объем студийного аудиофайла файла 100 Мб, частота дискретизация 192 кГц, длительность звучания 180 секунд. Какова глубина кодирования этого звука? Ответ округлились до целых.
помогите,пожалуйста
Ответы
Ответ дал:
1
Ответ:
Если это моно запись, то скорее 24
Объяснение: могут быть ошибки в вычислениях, а так суть расписал
Приложения:
Вас заинтересует
2 года назад
3 года назад
3 года назад
8 лет назад