• Предмет: Математика
  • Автор: Аноним
  • Вопрос задан 3 года назад

помогите пожалуйста мне!!!!!

Приложения:

mrusipusi: я уже все сделал кроме квадратных
mrusipusi: расскажи что это
mrusipusi: аааа я понял это обычная производная просто показали что все надо делать в производную
mrusipusi: сейчас все тебе сделаю
Аноним: а слушая ешё поможешь
Аноним: просто там ишо одна
Аноним: заиди комне там увидишь
Аноним: я тебе дам спосибо
Аноним: очень надо помаги
mrusipusi: спате хочу

Ответы

Ответ дал: mrusipusi
1

Ответ:

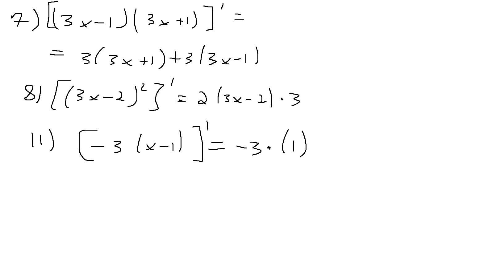
На фото

Пошаговое объяснение:  Пожалуйста, поставь "Спасибо"

Приложения:
Вас заинтересует