• Предмет: Алгебра
  • Автор: chipicao000omsk
  • Вопрос задан 3 года назад

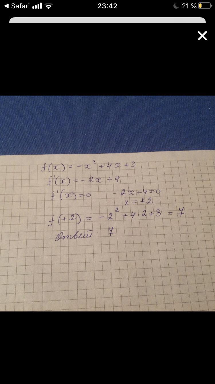
Объясните, как мы получили вторую строчку. Желательно подробно весь пример расписать, 20 баллов как-никак
.
.
Заранее большое спасибо:)

Приложения:

Ответы

Ответ дал: mishsvyat
3

Объяснение:

Как я понял, задача состоит в нахождении наибольшего значения функции. Для это необходимо найти производную этой функции и приравнять ее к 0 .

Правила взятия производной, необходимые для решения этого примера:

(f(x)+g(x))'=f'(x)+g'(x)\\\\(x^n)'=n\cdot x^{n-1}\\\\(const)'=0\\\\(C\cdot f(x))'=C\cdot f'(x)

Эти правила можно описать следующим образом :

· Производная от суммы функций равна сумме их производных.

· Производная степенной функции равна произведению показателя степени на функцию, с показателем степени на 1 меньше исходного.

· Производная от постоянной величины равна 0.

· Постоянный множитель можно вынести за знак производной.

Тогда производная заданной функции равна :

f'(x)=(-x^2+4x+3)'=(-1)\cdot(x^2)'+4\cdot (x)'+(3)'=\\\\=(-1)\cdot(2\cdot x)+4\cdot 1 +0 = -2x+4

Приравняем производную к 0 и найдем корень уравнения:

-2x+4=0\\\\2x=4\\\\x=2

Подставим найденное значение в исходную функцию:

f(2)=-2^2+4\cdot 2 +3=-4+8+3=7

Получили, что наибольшее значение функции равно 7 в точке x=2


chipicao000omsk: а есть ещё формулы по нахождению наибольшего значения квадратного трехчлена?
chipicao000omsk: спасибо огромное, кстати говоря;) Я правда думаю, что это класс 10-11, по школьной программе
mishsvyat: В условии задачи стоит знак производной, значит это относится к 10-11 классу, да и само задание в разделе "студенческий".
К вопросу о формулах нахождения наибольшего/наименьшего значения квадратного трехчлена. Такая формула есть.
Пусть квадратный трехчлен задан функцией y=ax²+bx+c и на графике изображается параболой. Тогда вершина параболы находится по формуле
x₀ = -b/(2a)
Максимальное/минимальное значение функции как раз будет достигаться в вершине параболы, и будет равно:
y₀ = y(x₀)
mishsvyat: Это значение будет максимальным, если a<0, и минимальным, если a>0
chipicao000omsk: спасибо огромное:))
alikalhan222: помогите пожалуйстста у меня в вопросах стоит
Вас заинтересует