• Предмет: Алгебра
  • Автор: dadya88
  • Вопрос задан 3 года назад

помогите пожалуйста срочно нужно​

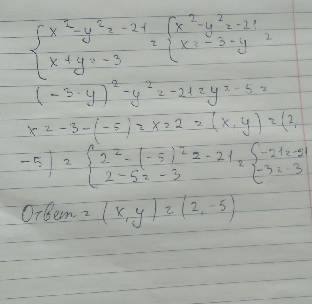
Приложения:

Ответы

Ответ дал: NNNLLL54
0

\left\{\begin{array}{l}x^2-y^2=-21\\x+y=-3\end{array}\right\ \ \left\{\begin{array}{l}(-3-y)^2-y^2=-21\\x=-3-y\end{array}\right\ \ \left\{\begin{array}{l}9+6y+y^2-y^2=-21\\x=-3-y\end{array}\right\\\\\\\left\{\begin{array}{l}6y=-30\\x=-3-y\end{array}\right\ \ \left\{\begin{array}{l}y=-5\\x=2\end{array}\right\ \ \ Otvet:\ \ (\ 2\, ;-5\, )\ .

Ответ дал: Аноним
8

Ответ:

...........................

Приложения:
Вас заинтересует