Ответы
Ответ дал:
0
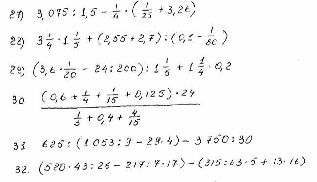
(520•43:26-217:7•17)-(315:63•5+13•16)=
1) 520•43=22.360
2)22.360:26=860
3)217:7=31
4)31•17=527
5)860-527=333
6)315:63=5
7)5•5=25
8)13•16=208
9)25+208=233
10)333-233=100
Ответ: (520•43:26-217:7•17)-(315:63•5+13•16)=100
1) 520•43=22.360
2)22.360:26=860
3)217:7=31
4)31•17=527
5)860-527=333
6)315:63=5
7)5•5=25
8)13•16=208
9)25+208=233
10)333-233=100
Ответ: (520•43:26-217:7•17)-(315:63•5+13•16)=100
Вас заинтересует
2 года назад
2 года назад
2 года назад
8 лет назад
9 лет назад