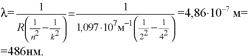
При переходе атома водорода из четвертого
энергетического состояния во второе излучаются фотоны с энергией 2,55 эВ
(зелёная линия водородного спектра). Определить длину волны этой линии спектра.
Ответы
Ответ дал:
0
Дано:k = 4, n = 2, Е = 2,55 эВ.
Решение:
Решение:
Приложения:

Вас заинтересует
2 года назад
2 года назад
8 лет назад
10 лет назад
10 лет назад