• Предмет: Алгебра
  • Автор: masha83720
  • Вопрос задан 3 года назад

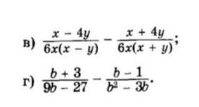
срочно!!! помогите плиз с алгберой, даю 35 баллов, заранее спасибо

Приложения:

Ответы

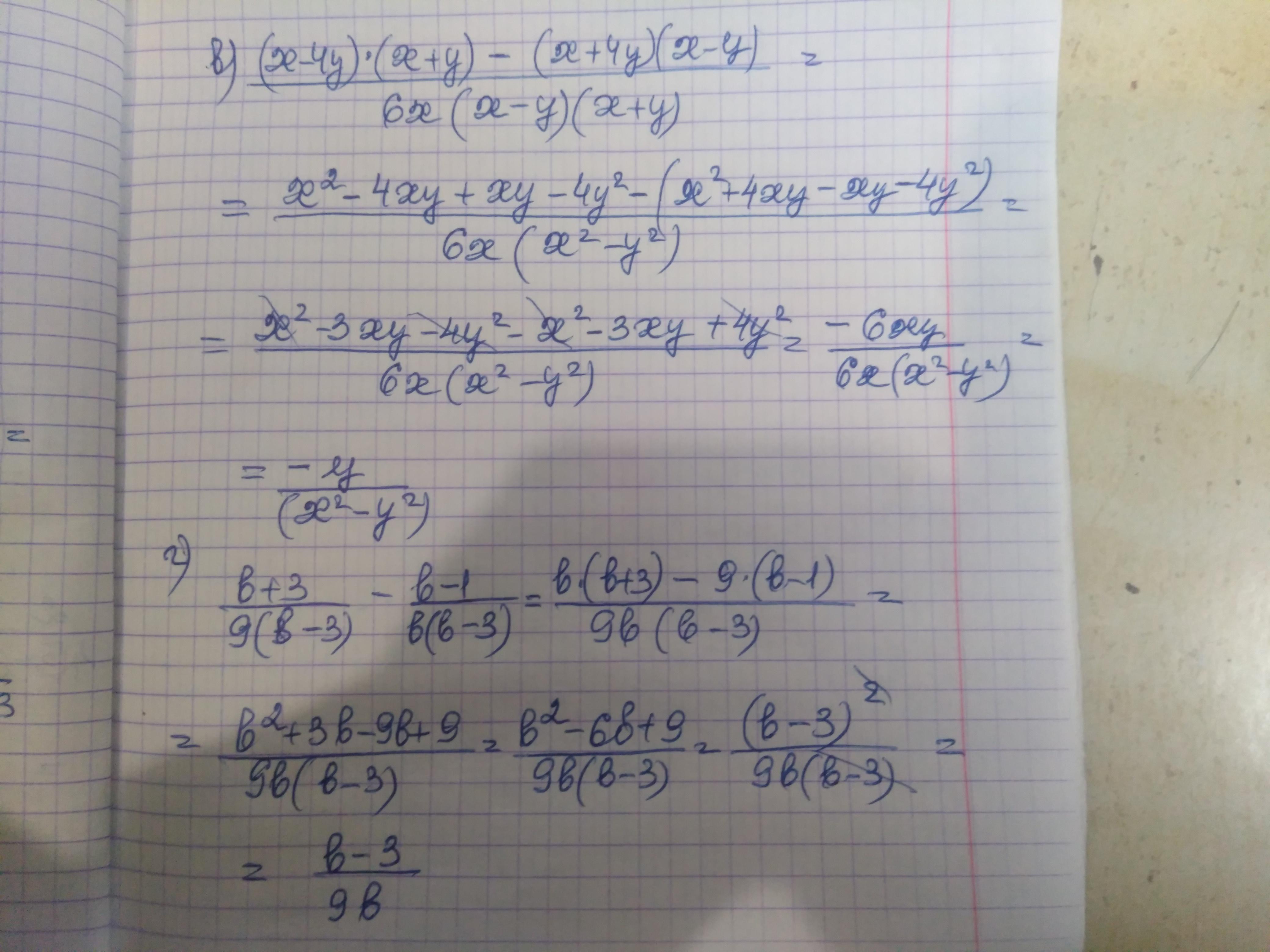
Ответ дал: MizoriesKun
0

Смотри........................

Приложения:
Вас заинтересует