• Предмет: Алгебра
  • Автор: nursultanziadinov7
  • Вопрос задан 3 года назад

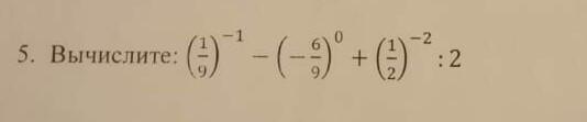
вычислите
помогите пж!!!​

Приложения:

Ответы

Ответ дал: MizoriesKun
1

Смотри......

..

.

.....

Приложения:

nursultanziadinov7: спосибо только все черное может это у меня так если не трудно можешь написать что там написано
Вас заинтересует