• Предмет: Алгебра
  • Автор: madampapaya26
  • Вопрос задан 3 года назад

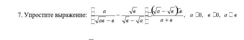
Задание на фото
тоже не пишется..
ПОМОГИТЕ ПОЖАЛУЙСТА ​

Приложения:

MizoriesKun: Между второй и третьей дробью какой знак ?
madampapaya26: вот именно не знаю

Ответы

Ответ дал: MizoriesKun
1

Смотри.......................

Приложения:

madampapaya26: спасибо
Вас заинтересует