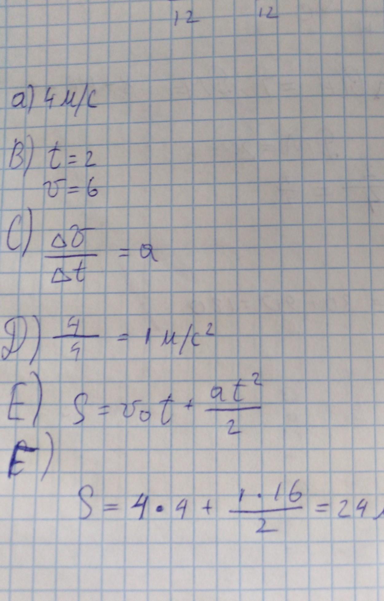
Дан график зависимости скорости движения тела от времени. Определите ускорение тела и найдите путь, пройденный телом за 20 с
А) из графика определите начальную скорость тела υ0 =__________
В) из графика выберите значение времени t =_______ и соответствующую скорость υ =________
С)запишите формулу для определения ускорения ______________
D) определите ускорение тела _______________________________
Е) запишите формулу для определения пути при равнопеременном движении _________________________________________________________
F) рассчитайте пройденный путь _____________________________
Приложения:

Ответы
Ответ дал:
3
Ответ:
Всё на фото
Объяснение:
Извини за почерк
Приложения:

Аноним:
ОГРОМНОЕ ТЕБЕ СПАСИБО, ОЧЕНЬ ВЫРУЧИЛ!
Вас заинтересует
2 года назад
2 года назад
2 года назад
2 года назад
7 лет назад
7 лет назад
9 лет назад