• Предмет: Математика
  • Автор: anamirosnecenko3
  • Вопрос задан 3 года назад

ПОМОГИТЕ ПОЖАЛУЙСТА ТОЛЬКО ПРАВИЛЬНО ДЕЛАЙТЕ изобразите решение системы неравенств на координатной плоскости ​

Приложения:

Ответы

Ответ дал: natalyabryukhova
2

Ответ:

===============================

Пошаговое объяснение:

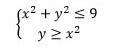
Решение первого неравенства - это круг радиусом 3, включая окружность.

Второе неравенство - часть плоскости, заключенная между ветвями параболы, включая сами ветви

Приложения:

anamirosnecenko3: большое спасибо
anamirosnecenko3: надеюсь что это правильно
anamirosnecenko3: просто у меня соч
anamirosnecenko3: а можешь на моем акке ещё одно задание решить?
anamirosnecenko3: по математике
anamirosnecenko3: оно выглядит вот так
anamirosnecenko3: В корзине 5 красных, 4 белых и 3 синих шарика. А) сколько способов можно выбрать из корзины 4 шара? Б) сколько способов, чтобы из 4-х выбраных из корзины шаров было бы хотя бы 3 красных шариков
aralbaieradi9: Здравствуйте
aralbaieradi9: Пожалуйста помогите с математикой
aralbaieradi9: Желательно с обеснением
Вас заинтересует