• Предмет: Алгебра
  • Автор: Evelina7697
  • Вопрос задан 3 года назад

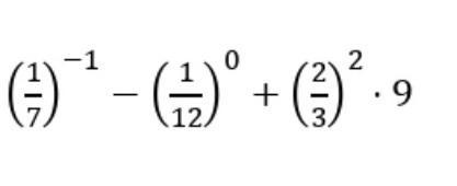
Вычеслите: Помогите❣❣❣​

Приложения:

Ответы

Ответ дал: natalyabryukhova
1

Ответ:

(\frac{1}{7})^{-1}-(\frac{1}{12})^0+(\frac{2}{3})^2*9 =7-1+\frac{4*9}{9}=7-1+4=10

Объяснение:

Вас заинтересует