Ответы
Ответ дал:
0
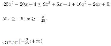
Решение, Объяснение, Ответ!
Приложения:

Вас заинтересует
2 года назад
2 года назад
2 года назад
2 года назад
7 лет назад
7 лет назад