• Предмет: Алгебра
  • Автор: itzarmyb
  • Вопрос задан 3 года назад

Выполните действия:

а) 2n3 (n2- 3)

б) (56а9) : (-7а)

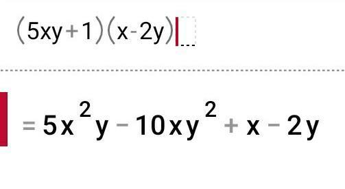
в) (5xy + 1)(x – 2y)

Ответы

Ответ дал: kutsebodanil
0

Ответ:

вот как то так..1003022й

Приложения:

itzarmyb: АХАХХАХА, спасибо
Вас заинтересует