• Предмет: Математика
  • Автор: alinadubovaa4
  • Вопрос задан 3 года назад

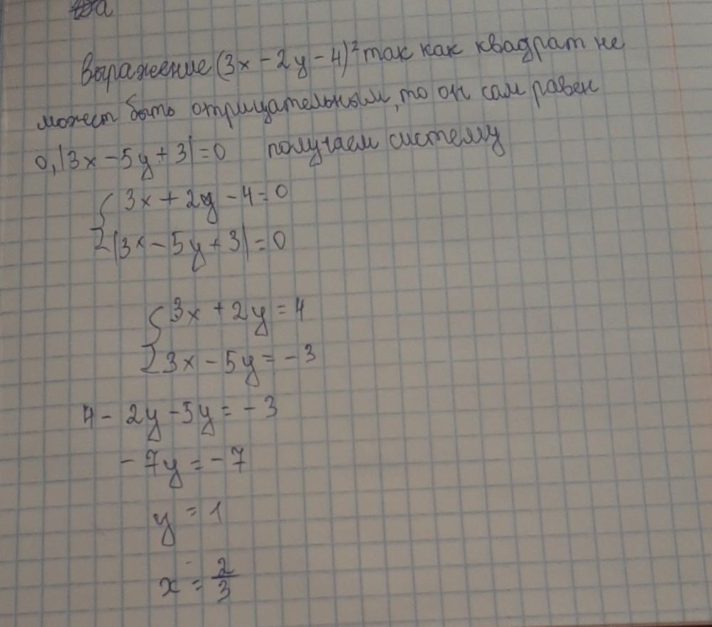
(3x+2y-4)^2+|3x-5y+3|=0
помогите решить пожалуйста, срочно,ДАЮ СТО БАЛЛОВ​


alinadubovaa4: может помочь?
sarsenbaeva0505: уау обожаю таджечки
Аноним: спасибо огромное мне очень приятно
Аноним: не могу помочь потомучто не знаю как делать
sarsenbaeva0505: крута а ты любишь казашких
sarsenbaeva0505: блин нам приятно со стоаны
Аноним: ну да
Аноним: спс и тебе пока через 1 час поговорм
sarsenbaeva0505: скинь в вопросе
sarsenbaeva0505: добавь в своей вопросе на описании сейчас Помогу просто Помогу других

Ответы

Ответ дал: sarsenbaeva0505
3

Ответ:

Решение на добавленный файле

Приложения:

alinadubovaa4: мне надо
Аноним: да не не надо спс сама как нибудь сделаю
alinadubovaa4: кинула уже
Аноним: у меня 2 телефона
Аноним: пока всем
Аноним: ребзя
alinadubovaa4: ПОМОГИТЕ
alinadubovaa4: ПОЖАЛУЙСТА
alinadubovaa4: помогите кто-топожалуйста
alinadubovaa4: нужно прям срочно
Вас заинтересует