• Предмет: Математика
  • Автор: marina0785
  • Вопрос задан 3 года назад

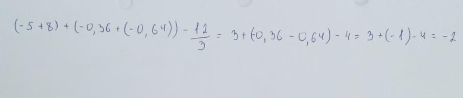
(-5+8)+(-0,36+(-0,64))-1 2/3

Ответы

Ответ дал: 06aseka
0

Ответ:

ответ -2

.......................

Приложения:
Вас заинтересует