• Предмет: Алгебра
  • Автор: aisgamer666p8akp0
  • Вопрос задан 3 года назад

помогите пожалуйста решить данные примеры буду благодарен вам за ответ!!

Приложения:

Ответы

Ответ дал: Miroslava227
1

Ответ:

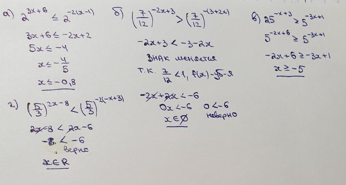
решение на фотографии

Приложения:
Вас заинтересует