• Предмет: Математика
  • Автор: euphoria37
  • Вопрос задан 3 года назад

помогите пожалуйста!

нужно выполнить действия

заранее большое спасибо ​

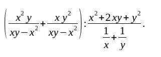
Приложения:

Ответы

Ответ дал: NzSc
1

Ответ:

\frac{1}{xy-x^{2} }

Пошаговое объяснение:

Первым действием выносим выносим x за скобки в выражении, что находиться в скобках

\frac{x^{2}y }{x(y-x)} +\frac{xy^{2}}{x(y-x)}

Сокращаем и записываем все под общим знаменателем(а также выносим за скобки y в числителе)

\frac{y(x+y)}{y-x}

Упрощаем вторую(составную дробь)

\frac{(x^{2}+2xy+y^{2})xy}{y+x}

Делим(Переворачиваем дробь)

\frac{y(x+y)}{y-x}*\frac{x+y}{(x^{2}+2xy+y^{2})xy}

Используем формулу сокращенного умножения

Сокращаем все и получаем ответ.

Вас заинтересует