• Предмет: Математика
  • Автор: sinitsyntoscha
  • Вопрос задан 3 года назад

Помогите.Интеграл.Простой.Нужно методом замены

Приложения:

Ответы

Ответ дал: Miroslava227
1

Ответ:

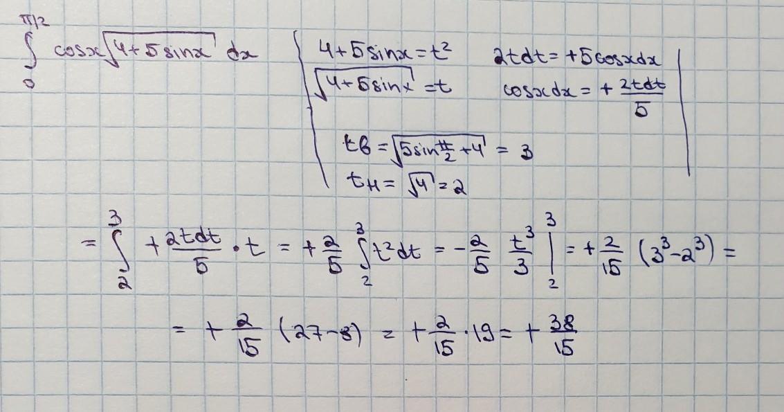
решение на фотографии

Приложения:
Вас заинтересует