• Предмет: Математика
  • Автор: alinadubovaa4
  • Вопрос задан 3 года назад

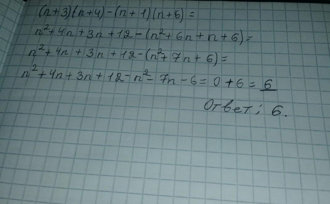
до доказать что выражение n во второй /- n 6 при любом натуральном n есть целое число
ПОМОГИТЕ
ДАЮ 65 БАЛЛОВ​


sarsenbaeva0505: у меня в уведемлений отправляется сердечку который ты мне отправляешь:)))
alinadubovaa4: а у меня не показывает (
sarsenbaeva0505: жалко....(((

Ответы

Ответ дал: sarsenbaeva0505
2

Ответ:

Вот и ответик получи подружка

Приложения:

alinadubovaa4: спасибо огромное
sarsenbaeva0505: почему типти много баллов?меня не интересует баллы меня интересует толька ты
alinadubovaa4: )))))
alinadubovaa4: почему тут не отправляются сердечки(
Вас заинтересует