• Предмет: Математика
  • Автор: buminasvetlana8
  • Вопрос задан 3 года назад

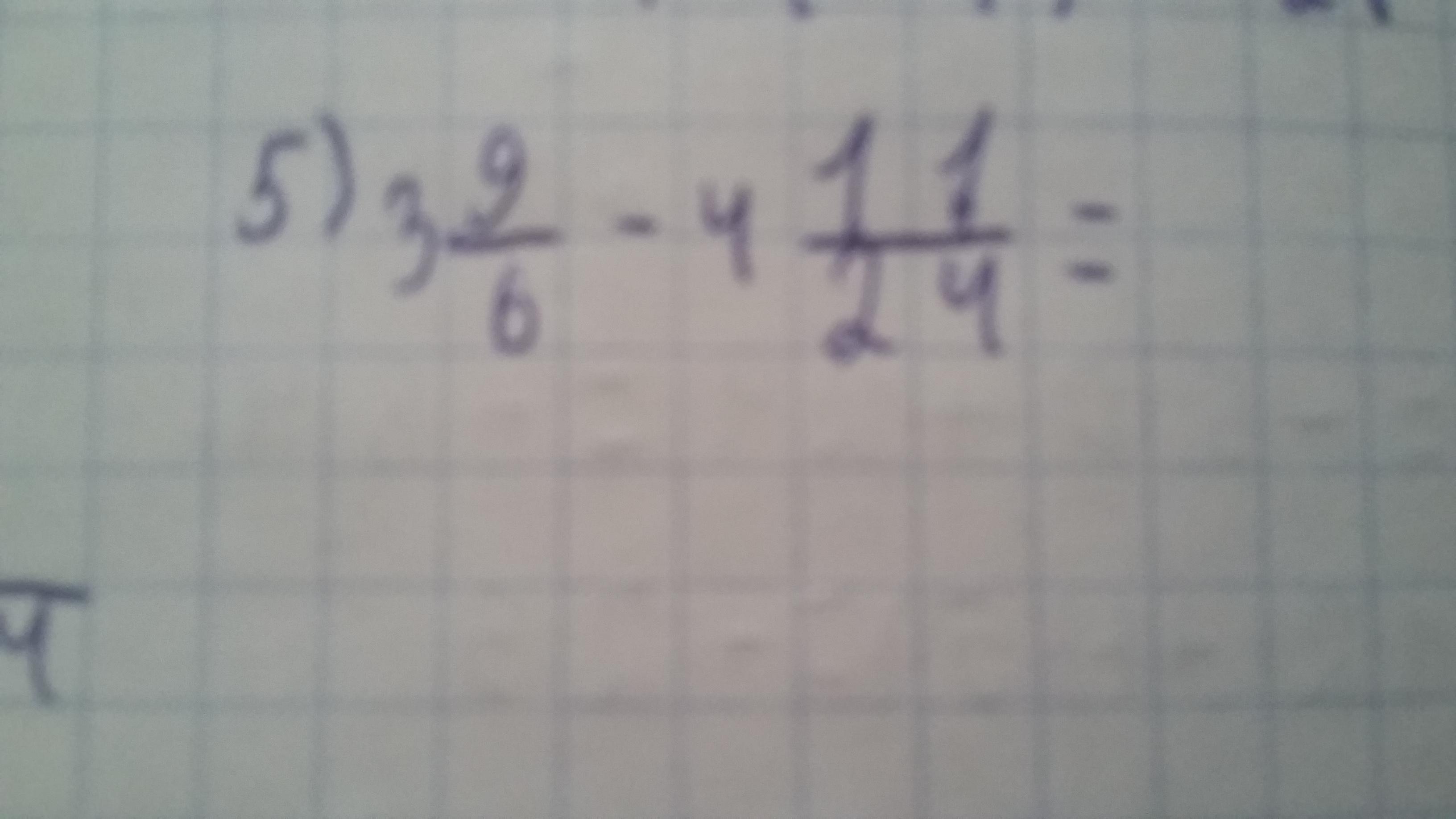
Помагите пж дам 5 звезд

Приложения:

Ответы

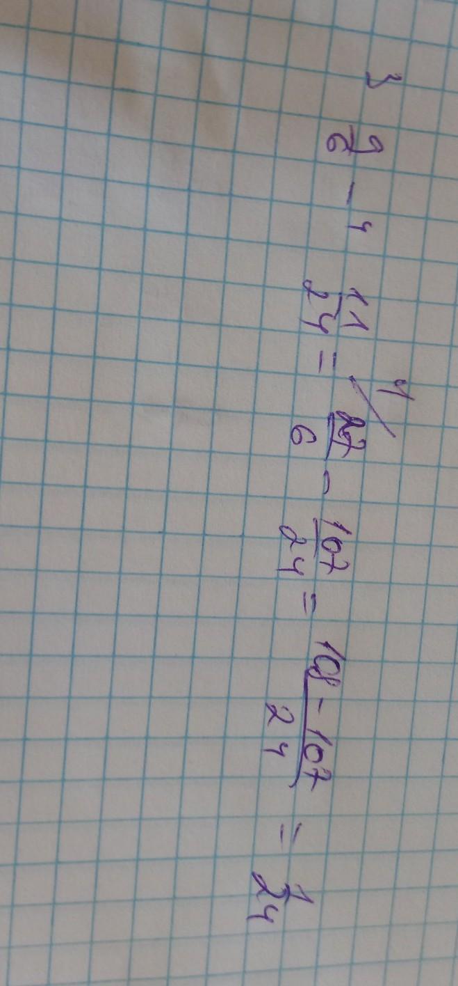
Ответ дал: hill384
0

на фото

..............

Приложения:
Вас заинтересует