• Предмет: Алгебра
  • Автор: dbdjsjjdjdje
  • Вопрос задан 3 года назад

Помогите решить линейные неравенствв пожалуйста :'(​

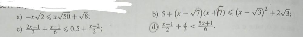
Приложения:

Ответы

Ответ дал: DocAlfer
1

Ответ:

Объяснение:

а)  х(\sqrt{2*25} +\sqrt{2}) ≥ -\sqrt{4*2}

х5√2≥ - 2√2

5х ≥ -2

х ≥ -2/5    х ∈[-2/5; +∞)

b) 5+ x² - 7 ≤ x²-2√3 + 3 - 2√3

x²-2≤x²+3

при любом x,   x ∈ (-∞; +∞)

с)  умножим обе части почленно на 6

4х-2+х-1 ≤3+3х-6

5х-3 ≤3х-3

2х ≤0

х≤0    x∈(-∞;0]

d) умножим обе части почленно на 6

3x -3 + 2x < 5x+1

5x-3< 5x+1

при любом x,   x ∈ (-∞; +∞)


dbdjsjjdjdje: пасиииммбо
dbdjsjjdjdje: очень вам благодарна
DocAlfer: я д дописал - отвлекали меня
Вас заинтересует