• Предмет: Алгебра
  • Автор: djjdjdjdjdj3
  • Вопрос задан 3 года назад

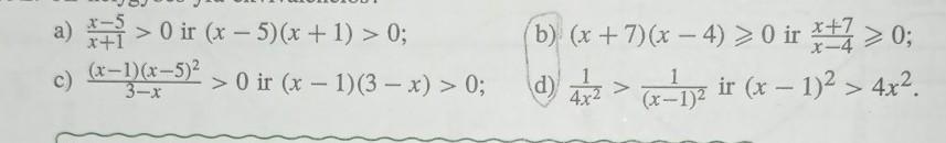
являются ли неравенства эквивалентными?
помогите пожалуйста :3​

Приложения:

djjdjdjdjdj3: нет

Ответы

Ответ дал: unigirligogo
0

Ответ:

Два неравенства, содержащие одну и ту же неизвестную величину, называются эквивалентными (или равносильными), если они выполняются при одних и тех же значениях этой величины. Примером эквивалентных неравенств могут служить неравенства 2х > 0 и —3х < 0, справедливые при всех положительных значениях х.

Объяснение: Ну думаю обьяснение не надо)0) Удачи с уроками солныфко


unigirligogo: помогла?
djjdjdjdjdj3: нет
unigirligogo: ну я помогаю ка могу
unigirligogo: а что?
unigirligogo: чем не правильный?!
Вас заинтересует