• Предмет: Алгебра
  • Автор: ptimofej397
  • Вопрос задан 3 года назад

Прошу помогите пожалуйста ​

Приложения:

ptimofej397: да
ptimofej397: скорее всего
ptimofej397: log0.2(4-3x) =¿-2¿
ptimofej397: 4-3x=(0.2)^-2
ptimofej397: 4-3x=25
ptimofej397: -3x=21
ptimofej397: x=-7
ptimofej397: вот это пример
axatar: Всё верно: непонятные знаки убрать и решить.
Аноним: Как

Ответы

Ответ дал: axatar
1

Ответ:

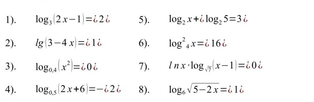
1) log₃(2·x-1)=2

Область допустимых значений: 2·x-1>0 ⇔ x>0,5.

log₃(2·x-1)=2 ⇒ 2·x-1=3² ⇒ 2·x=10 ⇒ x=5>0,5 ⇒ x∈{5}.

2) lg(3-4·x)=1

Область допустимых значений: 3-4·x>0 ⇔ x<0,75.

lg(3-4·x)=1 ⇒ 3-4·x=10 ⇒ 4·x=-7 ⇒ x= -1,75<0,75 ⇒ x∈{-1,75}.

3) log₀,₄(x²)=0

Область допустимых значений: x²>0 ⇔ x≠0.

log₀,₄(x²)=0 ⇒ x²=0,4⁰ ⇒ x²=1 ⇒ x=±1 ≠0 ⇒ x∈{-1; 1}.

4) log₀,₅(2·x+6)= -2

Область допустимых значений: 2·x+6>0 ⇔ x>-3.

log₀,₅(2·x+6)= -2 ⇒ 2·x+6=0,5⁻² ⇒ 2·x+6=4 ⇒ x=-1 > -3 ⇒ x∈{-1}.

5) log₂x+log₂5=3

Область допустимых значений: x>0.

log₂x+log₂5=3 ⇒ log₂(5·x)=3 ⇒ 5·x=2³ ⇒ x=8/5>0 ⇒ x∈{8/5}.

6) log²₄x=16

Область допустимых значений: x>0.

log²₄x=16 ⇒ log₄x= 4, log₄x= -4  ⇒ x=4⁴=256>0, x=4⁻⁴=1/256>0 ⇒ x∈{256; 1/256}.

\tt \displaystyle 7) \;\; lnx \cdot log_{\sqrt{7} } (x-1)=0

Область допустимых значений: x>0 и x-1>0 ⇒ x>1.

\tt \displaystyle lnx \cdot log_{\sqrt{7} } (x-1)=0 \Rightarrow \left [ {{lnx=0} \atop {log_{\sqrt{7} } (x-1)=0}} \right. \Rightarrow \left [ {{x=1&gt;1\;?} \atop {x-1=(\sqrt{7})^0}} \right. \Rightarrow\\\\ \Rightarrow x-1=1  \Rightarrow x=2&gt;1 \Rightarrow x \in \{2 \}.

\tt \displaystyle 8) \;\; log_{6} \sqrt{5-2 \cdot x} =1

Область допустимых значений: 5-2·x>0 ⇒ x<2,5.

\tt \displaystyle log_{6} \sqrt{5-2 \cdot x} =1 \Rightarrow \sqrt{5-2 \cdot x}=6 \Rightarrow  (\sqrt{5-2 \cdot x})^2=6^2  \Rightarrow  \\\\ \Rightarrow 5-2 \cdot x=36  \Rightarrow  2 \cdot x= -31   \Rightarrow  x= -15,5&lt;2,5    \Rightarrow x \in \{-15,5 \}.


ptimofej397: спасибо большое
ptimofej397: там ещё 1 вопрос, помогите пожалуйста, в профиле
Вас заинтересует