• Предмет: Алгебра
  • Автор: kitikdashirak902
  • Вопрос задан 3 года назад

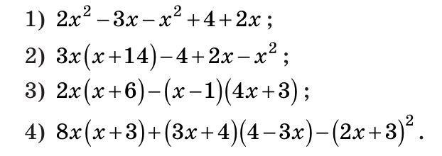
просто раскройте скобки 2 и 3 примера

Приложения:

Ответы

Ответ дал: vipsergazyev
0

Ответ:

сначала идет второй пример потом третий

Объяснение:

2)3x*(x+14)-4+2x-x^{2} =3x^{2} +42x-4+2x-x^{2} =2x^{2} +44x-4\\3)2x*(x+6)-(x-1)*(4x+3)=2x^{2} +12x-(4x^{2} +3x-4x-3)=2x^{2} +12x(4x^{2} -x-3)=2x^{2} +12x-4x^{2} +x+3=-2x^{2} +13x+3

Вас заинтересует