• Предмет: Математика
  • Автор: abdullayevalina
  • Вопрос задан 3 года назад

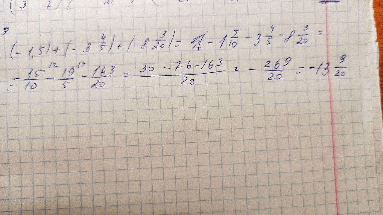
(-1,5)+(-3 4/5)+(-8 3/20)
пожалуйста помогите,срочно нужно​

Ответы

Ответ дал: ekaterinapolika45
1

Ответ:

Пошаговое объяснение:

Приложения:
Вас заинтересует