• Предмет: Математика
  • Автор: Аноним
  • Вопрос задан 3 года назад

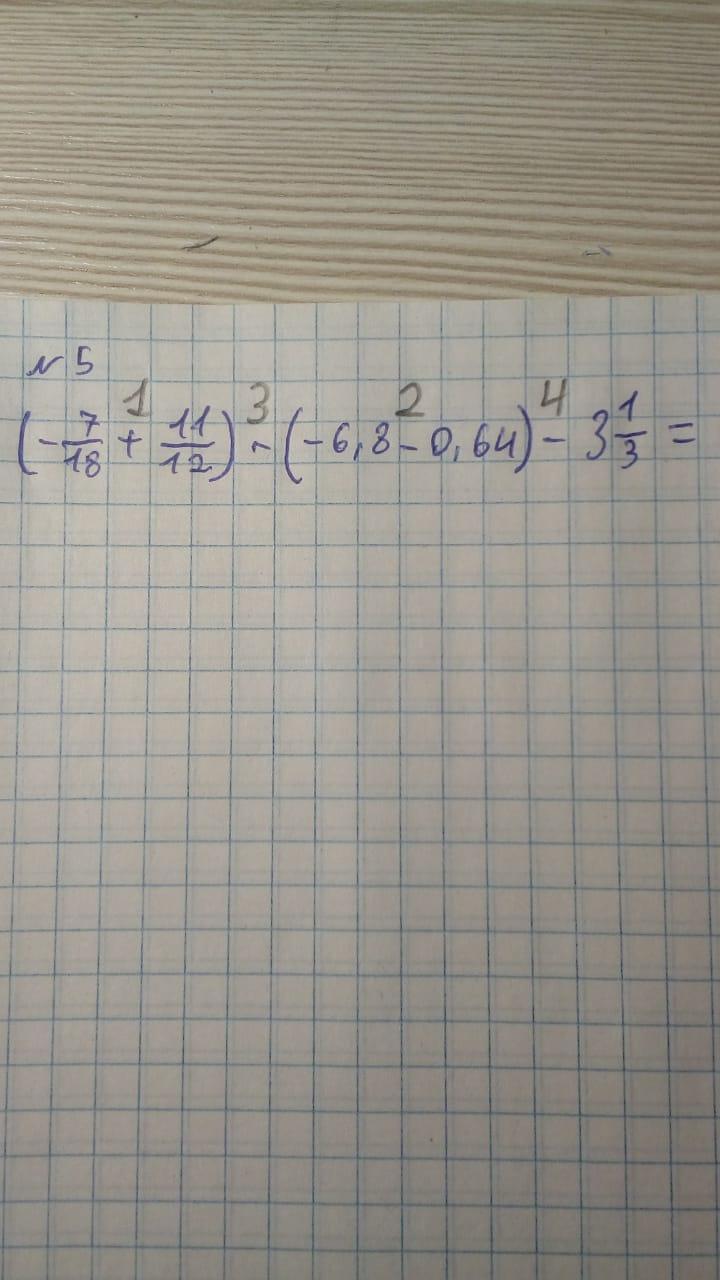
РЕШИТЕ ЗАДАНИЕ ПО ДЕЙСТВИЯМ

Приложения:

Ответы

Ответ дал: eqouue1
0

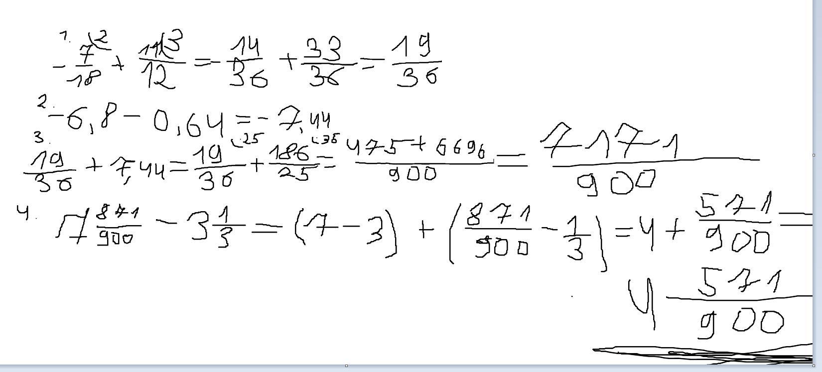
Ответ:

Ответ:

Ответ:

Ответ:

Ответ:

Ответ:

на картинке

Приложения:
Вас заинтересует