• Предмет: Математика
  • Автор: Аноним
  • Вопрос задан 3 года назад

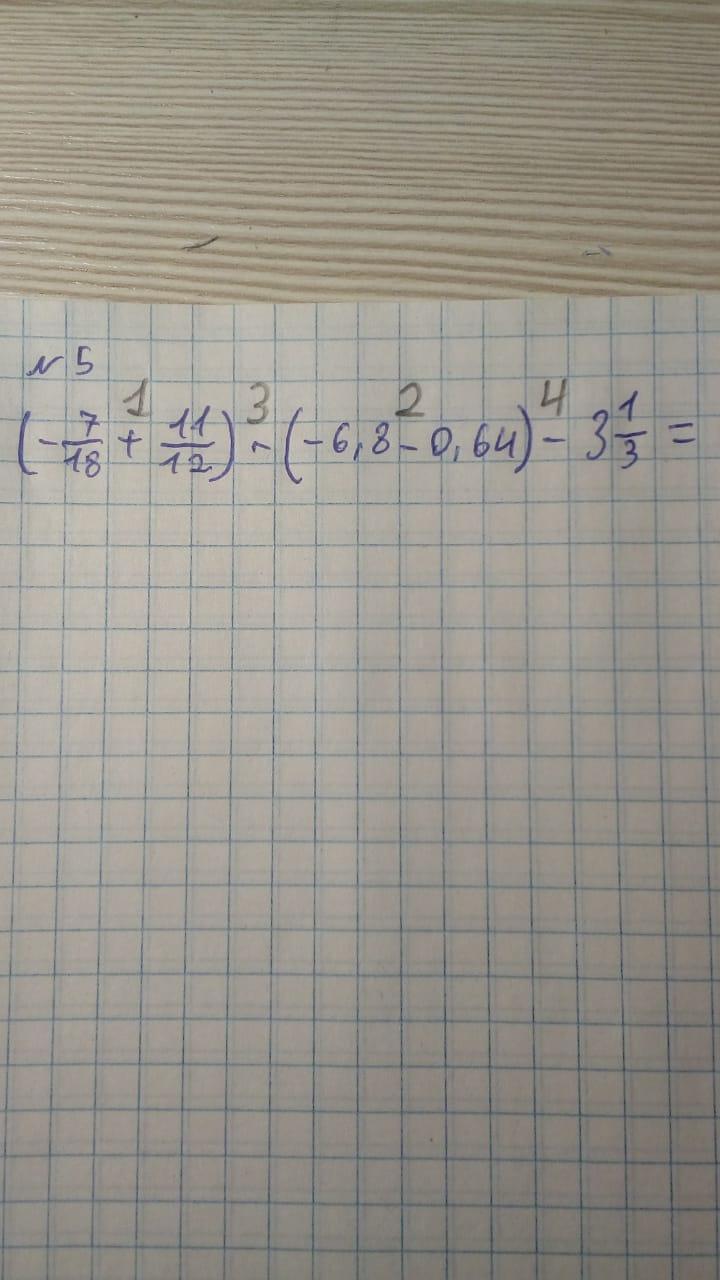
РЕШИТЕ ПО ДЕЙСТВИЯМ ЗАДАНИЕ

Приложения:

Ответы

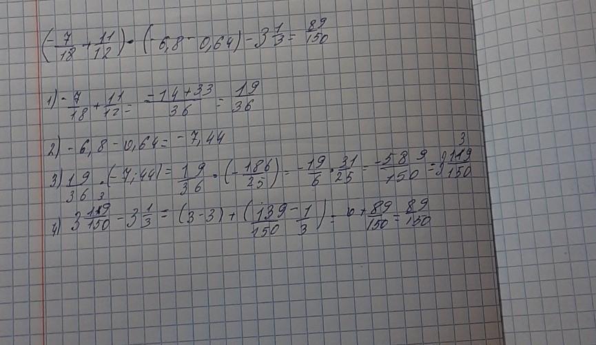
Ответ дал: viktorkilih
0

Вроде правильно.Надеюсь помогла

Приложения:
Вас заинтересует