Ответы
Ответ дал:
1
Ответ:
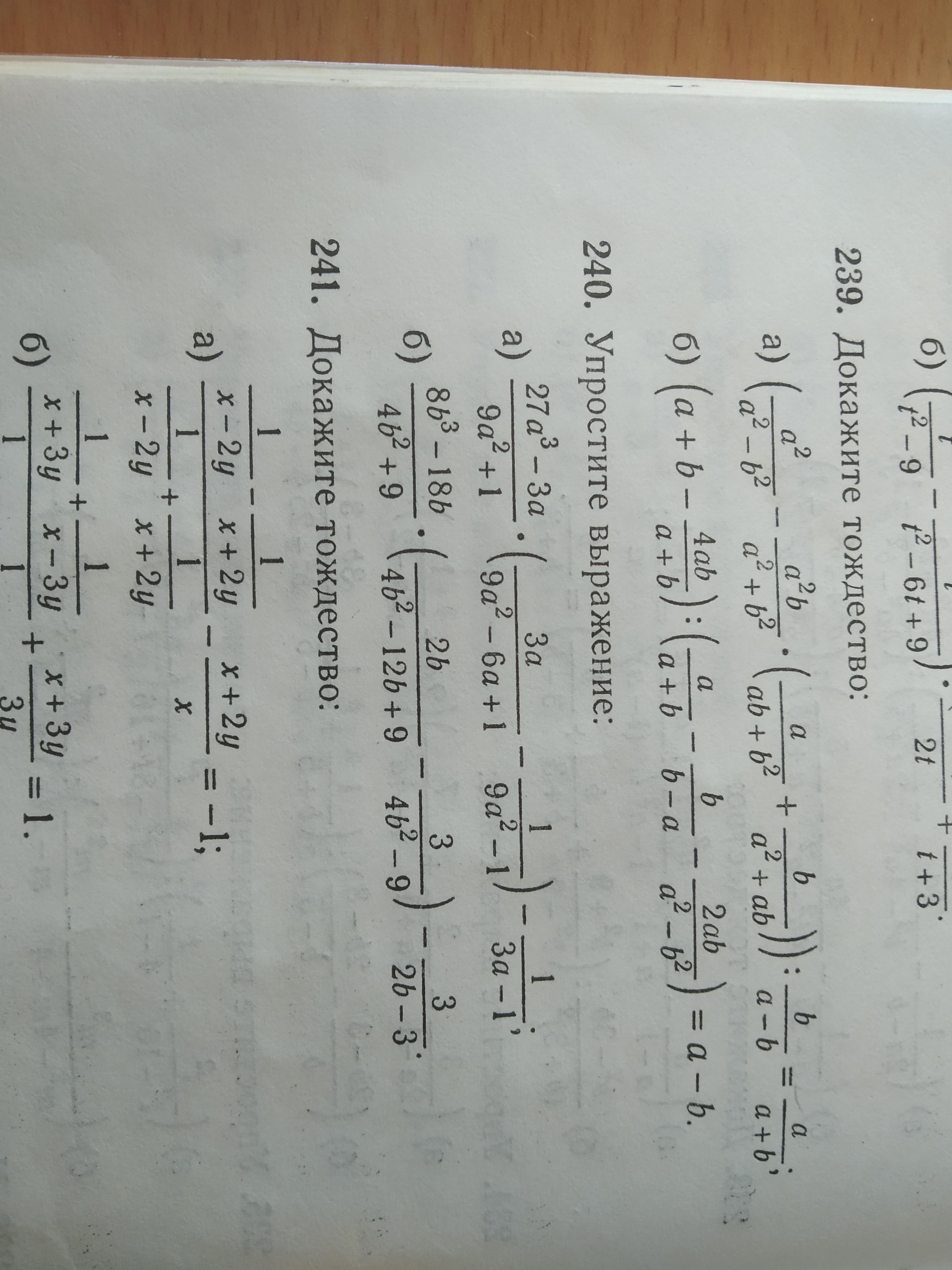
сейчас на листочке напишу
Приложения:

vilkadesh:
написала
Ответ дал:
0
Объяснение:
1.
2.
3.
Вас заинтересует
2 года назад
2 года назад
2 года назад
2 года назад
7 лет назад
9 лет назад