• Предмет: Алгебра
  • Автор: Tenderli0ness
  • Вопрос задан 3 года назад

помогите пожалуйста. 9 класс​

Приложения:

Ответы

Ответ дал: rano141219
0

Ответ:

Жауабы

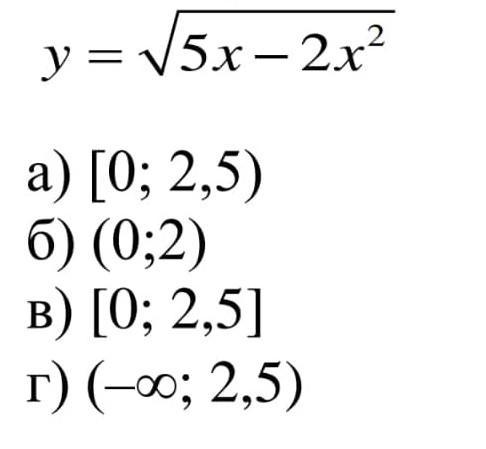
А

Объяснение:

Сәттілік тілеймін

Ответ дал: oleg000000000001
0

Відповідь:

В) x є [0; 2,5]

Пояснення:

2х^2-5х>= 0

x(2x-5)>=0

Відповідь х є між 0 і 2,5 включно.

Вас заинтересует