• Предмет: Алгебра
  • Автор: tvtiger
  • Вопрос задан 3 года назад

ОЧЕНЬ ОЧЕНЬ СРОЧНО!!!!!!!!!!!!!! ДАМ 15 БАЛОВ!!!!!!!!!!!!!

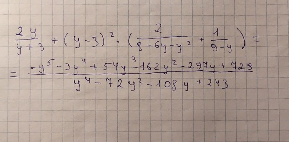
Приложения:

tvtiger: samatkhamiduliev86 ПО РУССКИ ГОВОРИШЬ
tvtiger: samatkhamiduliev86 МЕН ОРЫС ТІЛІНДЕ СӨЙЛЕЙМІН

Ответы

Ответ дал: xrrr
0

Ответ:

ответ на фото

надеюсь помогала )

Приложения:
Вас заинтересует