Ответы
Ответ дал:
1
Ответ:
Объяснение:
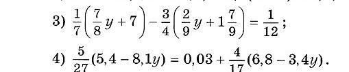
Прикрепила фото
Приложения:

vasabiii29:
Господи спасибо
Вас заинтересует
2 года назад
2 года назад
2 года назад
7 лет назад
9 лет назад