• Предмет: Математика
  • Автор: Karamba02
  • Вопрос задан 3 года назад

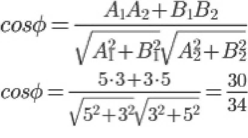
Найдите косинус угла между прямыми l1 и l2.

Приложения:

Аноним: Решим все быстро, смотри отзывы
https://www.avito.ru/moskva/predlozheniya_uslug/reshenie_zadach_po_matematike_i_fizike_1920524902

Ответы

Ответ дал: KubiSheep
1
Косинус угла между прямыми, заданными уравнениями A1x+ B1y+C1 = 0 и A2x+B2y+C2 = 0 можно вычислить по формуле на фотографии

Ответ: 30/34 = 0.88
Приложения:
Вас заинтересует