• Предмет: Математика
  • Автор: uziizisdsdss
  • Вопрос задан 3 года назад

КАК МОЖНО СРОЧНО МАТЕМАТИКА 10 КЛАСС

Приложения:

Ответы

Ответ дал: NNNLLL54
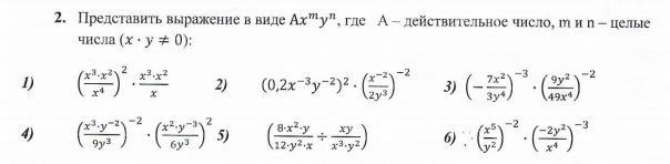
2

1)\ \ \Big(\dfrac{x^3\cdot x^2}{x^4}\Big)^2\cdot \dfrac{x^3\cdot x^2}{x}=\dfrac{x^{10}}{x^8}\cdot x^4=x^6\\\\\\2)\ \ (0,2x^{-3}y^{-2})^2\cdot \Big(\dfrac{x^{-2}}{2y^3}\Big)^{-2}=0,04\, x^{-6}\, y^{-4}\cdot \dfrac{4x^4}{y^{-6}}=0,16\, x^{-2}\, y^{2}\\\\\\3)\ \ \Big(-\dfrac{7x^2}{3y^4}\Big)^{-3}\cdot \Big(\dfrac{9y^2}{49x^4}\Big)^{-2}=-\dfrac{3^3\, y^{12}}{7^3\, x^6}\cdot \dfrac{49^2\, x^8}{9^2\, y^4}=-\dfrac{7}{3}\, x^2\, y^{8}

4)\ \ \Big(\dfrac{x^3y^{-2}}{9y^3}\Big)^{-2}\cdot \Big(\dfrac{x^2y^{-3}}{6y^3}\Big)^2=\dfrac{9^2y^4\, y^6}{x^6}\cdot \dfrac{x^4}{6^2\, y^6y^6}=\dfrac{9}{4}\,  x^{-2}\, y^{-2}\\\\\\5)\ \ \Big(\dfrac{8x^2y}{12y^2x}:\dfrac{xy}{x^3y^2}\Big) =\dfrac{8x^2y}{12y^2\, x}\cdot \dfrac{x^3y^2}{xy}=\dfrac{2}{3}\, x^3\, y^0=\dfrac{2}{3}\, x^3

6)\ \ \Big(\dfrac{x^5}{y^2}\Big)^{-2}\cdot \Big(\dfrac{-2y^2}{x^4}\Big)^{-3}=\dfrac{x^{-10}}{y^{-4}}\cdot \dfrac{y^{-6}}{-8x^{-12}}=-\dfrac{1}{8}\, x^6\, y^{10}

Вас заинтересует