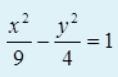
Кривая второго порядка задана каноническим уравнением. Определите ее эксцентриситет.
Приложения:

Ответы
Ответ дал:
1
Ответ:
Задана гипербола:
Вас заинтересует
2 года назад
2 года назад
2 года назад
7 лет назад
7 лет назад
9 лет назад