Ответы
Ответ дал:
0
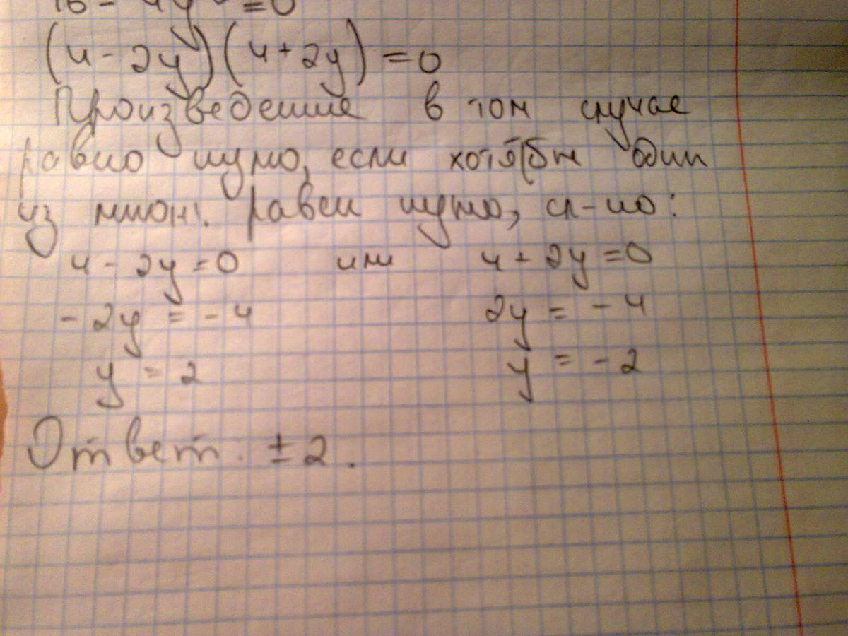
"Произведение в том случае равно нулю, если хотя бы один из множ. равен нулю"
Там у тебя не понятно, что именно в квадрате, либо 4y, либо только y
В любом случае, даже если 4y в квадрате, то делаешь все аналогично, только вместо 2у подставляешь 4у
И ответ тогда получится +(-) 1
Там у тебя не понятно, что именно в квадрате, либо 4y, либо только y
В любом случае, даже если 4y в квадрате, то делаешь все аналогично, только вместо 2у подставляешь 4у
И ответ тогда получится +(-) 1
Приложения:
Ответ дал:
0
спасибо
Вас заинтересует
3 года назад
3 года назад
8 лет назад
8 лет назад
11 лет назад
11 лет назад