• Предмет: Алгебра
  • Автор: bhbyfvk
  • Вопрос задан 3 года назад

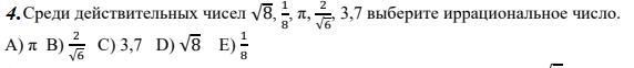
Среди действительных чисел выберите иррациональное число.

Приложения:

Ответы

Ответ дал: glebplisov88
2

Ответ:

Ирациональное число А)п

Вас заинтересует